最美数学公式的150年:麦克斯韦方程组与“无用
【作 者】:网站采编
【关键词】:
【摘 要】:詹姆斯·克拉克·麦克斯韦(1831-1879) 过去的2015年颇有纪念意义:我们庆祝了爱因斯坦的广义相对论的百周年,然后是乔治?布尔(George Boole)的诞辰200周年生日,他发明的布尔代数推动



詹姆斯·克拉克·麦克斯韦(1831-1879)
过去的2015年颇有纪念意义:我们庆祝了爱因斯坦的广义相对论的百周年,然后是乔治?布尔(George Boole)的诞辰200周年生日,他发明的布尔代数推动了现代计算机的发展。然而,不要忘了还有第三件值得纪念缅怀的事:2015年也是麦克斯韦方程组确立150周年,不管是对于我们对宇宙的理解,还是对于现代科技的发展,这一方程组都意义重大。
约150年前,苏格兰物理学家詹姆斯·克拉克·麦克斯韦(James Clerk Maxwell)找到了联系电与磁的方法,而此前这两者似乎毫无干系。1865年,麦克斯韦发表了一组方程来描述所有的电磁现象,方程组亦被命名为电磁方程组。名字听起来有些奇幻,但电磁现象确与我们的日常生活息息相关:光使我们看见了周边世界,电视与收音机娱乐了我们的生活,wifi与移动电话信号让我们彼此相连,而它们都是电磁波。应用电磁方程组的物理技术领域实在太多,我们无法一一列举。
追逐电磁波
单就电或磁本身而言,科学家们对它们的认识已经有很长一段时间了。“‘电'(electricity)与‘磁'(magnetism)的英文单词源于古希腊语,”伦敦国王学院克拉克·麦克斯韦理论物理学教授约翰·埃利斯(John Ellis)解释道(麦克斯韦此前也是这里的一名教授),“直到18世纪,人们才真正开始逐步去了解电磁现象。而在19世纪早期时,科学家们才意识到,电与磁之间必然存在某种关联。”到19世纪中叶,包括迈克尔·法拉第(Michael Faraday)在内的实验物理学家们找到了这二者间存在联系的确切证据。他们证明,电流能产生磁场,移动的磁体也会产生电流。
“诸多理论各执一词,而麦克斯韦的出现才使这一切现象得到了解释,”埃利斯说,“他向人们展示了如何用联系的方法去描述电与磁。”

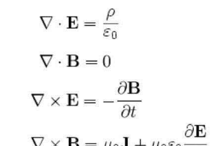
麦克斯韦方程组
麦克斯韦的一个重大预测就与上文提到的电磁场有关。电磁场并非静态不变的,而是像波一样出现周期性的振荡变化,并在空间中传播。麦克斯韦方程组预测,电磁场中的振荡是互相制约的,进而得出电磁波会在空间中高速传播的结论。
“人们在听到‘波'这个词时,往往会想到水波或声波,”埃利斯说道,“电磁波听起来有些抽象,但它们的表现形式非常具体。比如,灯管发出的光波或收音机传导的无线电波等,这些都是电磁波,它们都是以麦克斯韦方程组为基础预测出来的产物。”
根据这些方程,麦克斯韦就能够计算出电磁波在真空中的传播速度到底有多快,以回答困扰人们许久的问题。“此前,科学家就知道光的传播速度特别特别快,但也应该有一个上限,”埃利斯解释道,“光从A传播到B肯定需要一定时间,诸多实验已经证明这一点。麦克斯韦解出麦克斯韦方程组,计算出光速正确数值约为3×10^8米每秒的那一刻,一定科学史上最激动人心的瞬间之一(这种灵光乍现的瞬间在英语里被称为the Eureka moment,缘起于阿基米德发现浮力定律时所说之话“Eureka!我明白了!”
虽然结果鼓舞人心,但直到25年后才有人通过实验证明电磁波在物理上确实存在。“海因里希·赫兹(Heinrich Hertz)证明了电磁波的物理实在性:他在实验室里产生了周期性振荡的电流,然后隔空在接收器中检测到了相应的无线电波信号,”埃利斯解释道,“你也许会认为这只是在实验室里的好奇尝试,但是没过多久,古列尔莫·马可尼(Guglielmo Marconi)就成功让无线电波穿越了大西洋,彻底变革了人类沟通的方式——而所有这些都可以溯源至麦克斯韦方程组。”
追求统一
尽管麦克斯韦方程组的实际应用非常广泛,但很多物理学家庆祝其周年纪念还有更为重要的原因:它引导着我们更加深刻地理解我们所生活世界的本质。“宇宙确实错综复杂,”埃利斯说道,“但我们物理学家的工作就是搞清楚它是如何运转,又是如何演变成现在的样子的。所以我们试图寻找不同现象之间的联系,或者它们背后隐藏的原因——这就是所谓的‘统一'(unification)。用统一化的方法去描述自然的各个层面,是物理学家的永恒追求。理解宇宙中发生的各个事件之间有着隐藏的联系给我们带来了智力满足感,同时电磁波的出现也给整个社会带来了难以想象的巨大变化。”
文章来源:《高等学校计算数学学报》 网址: http://www.gdxxjssxxbzz.cn/zonghexinwen/2021/1115/1617.html